Research Areas
CHARACTERIZATION OF AEROSOL CLIMATE-FORCING AGENTS
We study fine-mode carbonaceous aerosols, focusing on black carbon (BC), brown carbon (BrC) and the major constituents of the latter such as humic-like substances (HULIS) and nitroaromatic compounds (NACs) in the Indo-Gangetic Plain (IGP), the northwestern (NW) Himalayas and the Norwegian Arctic by using a coupled chemical-optical characterization approach.
We employ a series of analytical methodologies such as EEM fluorescence, FT-IR, NMR and isotopic measurements to understand climate-relevant optical properties and chromophoric composition of BrC, and the role of atmospheric processing in constraining these. We are currently extending our research to characterize BrC chromophores at a molecular level.
Related papers: Dey and Sarkar, (2024, Sci. Total Environ.); Rana and Sarkar, (2024, Sci. Total Environ.); Dey et al., (2023, Sci. Total Environ.); Rana et al., (2023, Atmos. Environ.); Rawat et al., (2022, Env. Sci. Pollut. Res.); Rana et al., (2019; Atmos. Res.); Rana et al., (2020; Sci. Total Environ.); Mukherjee et al., (2020, Environ. Pollut.); Dey et al., (2021, Environ. Sci. Process Impacts), etc.
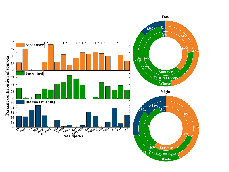
SOURCE APPORTIONMENT OF FINE-MODE AEROSOL
We chemically speciate fine-mode aerosol and employ receptor models for
quantitative source apportionment, especially for biomass burning, industrial
emissions and secondary formation.
We are also looking into source contributions to BrC absorption, which provides robust information about source-specific absorption contributions and absorption efficiency. We also explore the source profiles of specific nitroaromatics (NACs) and quantify their source contributions regionally.
Our major focus in this regard so far has been on the eastern IGP and SE Asia. Currently, we are planning to extend this work in the Himalayan context.
Related papers: Rana and Sarkar, (2024, Sci. Total Environ.); Dey et al., (2023, Sci. Total Environ.); Rana et al., (2023, Atmos. Environ.); Lan et al., (2021, Environ. Pollut.); Tham et al., (2019, Environ. Pollut.); Mao et al., (2021, Elemen. Sci. Anthrop.), etc.
We are also looking into source contributions to BrC absorption, which provides robust information about source-specific absorption contributions and absorption efficiency. We also explore the source profiles of specific nitroaromatics (NACs) and quantify their source contributions regionally.
Our major focus in this regard so far has been on the eastern IGP and SE Asia. Currently, we are planning to extend this work in the Himalayan context.
Related papers: Rana and Sarkar, (2024, Sci. Total Environ.); Dey et al., (2023, Sci. Total Environ.); Rana et al., (2023, Atmos. Environ.); Lan et al., (2021, Environ. Pollut.); Tham et al., (2019, Environ. Pollut.); Mao et al., (2021, Elemen. Sci. Anthrop.), etc.
POPULATION EXPOSURE TO AEROSOLS
We characterize human exposure to size-segregated aerosols and associated chemical components in outdoor and indoor settings, and employ particle deposition models to estimate respiratory tract deposition.
This is further expanded into a quantitive estimation of aerosol health impact using two metrics : (i) Disease burden and (ii) Oxidative potential.
We are actively involved in studying exposure from residential fuel use in eastern IGP, northeastern (NE) India. We have also investigated the same in the northeastern India (Assam, Meghalaya, Arunachal Pradesh) and the northwestern Himalayas (Himachal Pradesh, Uttarakhand).
Related papers: Sharma et al., (2024; Environ. Pollut.); Jia et al., (2021; Environ. Pollut.); Sharma et al., (2023; Sci. Total Environ.); Sharma and Sarkar, (2023; Sci. Total Environ.), etc.
This is further expanded into a quantitive estimation of aerosol health impact using two metrics : (i) Disease burden and (ii) Oxidative potential.
We are actively involved in studying exposure from residential fuel use in eastern IGP, northeastern (NE) India. We have also investigated the same in the northeastern India (Assam, Meghalaya, Arunachal Pradesh) and the northwestern Himalayas (Himachal Pradesh, Uttarakhand).
Related papers: Sharma et al., (2024; Environ. Pollut.); Jia et al., (2021; Environ. Pollut.); Sharma et al., (2023; Sci. Total Environ.); Sharma and Sarkar, (2023; Sci. Total Environ.), etc.
OTHER RESEARCH DIRECTIONS
-
Characterization of microplastics
We characterize airborne microplastics (MPs) to understand their morphological and chemical profiles. We are actively investigating it in megacities and pristine locations in the Himalayas -
Aerosol acidity and its neutralization, and secondary organic carbon
Sharma et al., (2022; Chemosphere); Zhang et al., (2019; Sci. Total Environ.); Jia et al., (2018; Atmos. Chem. Phys.); Jia et al., (2018; Chemosphere), etc. -
Factors affecting long-term tropospheric ozone profiles
Chen et al., (2020; Atmos. Environ.) -
Satellite- and model-based evaluation of long-term aerosol profiles
Zhang et al., (2022; Atmos Chem & Phys Disc. ); Rawat et al., (2019; Atmos. Environ.) -
Source apportionment of road dust-associated trace metals
Kolakkandi et al., (2020; Sci. Total Environ.) -
Sources and atmospheric processing of tropospheric halocarbons
Sarkar et al., (2018; Sci. Total Environ.)